Форум водно-моторного Клуба Фрегат

Назад   Форум водно-моторного Клуба Фрегат > Водномоторная тематика > Подвесные двигатели > Подвесные импортные брендовые

Відповідь
 
LinkBack Параметри теми Параметри перегляду
Старий 17.12.2012, 16:37   #1 (permalink)
Клубень
 
Аватар для Роман 37
 
Псевдо: Роман
Звідки Ви: Киев
Карапь: Днепр+mercury 40
Дописи: 10.422
Сказал(а) спасибо: 6.736
Поблагодарили 4.419 раз(а) в 1.635 сообщениях
Типово Как узнать год выпуска меркури

Ребята ткните носом как узнать год выпуска меркури.
Роман 37 зараз поза форумом   Відповісти з цитуванням
Старий 17.12.2012, 16:43   #2 (permalink)
Активный участник
 
Аватар для dimon
 
Псевдо: Дима
Звідки Ви: Киев
Карапь: Резинка + 3 л\с, Длинномер+60 л\с
Дописи: 7.882
Сказал(а) спасибо: 5.785
Поблагодарили 8.885 раз(а) в 3.315 сообщениях
Типово Re: Как узнать год выпуска меркури

Цитата:
Допис від Роман 37 Переглянути допис
Ребята ткните носом как узнать год выпуска меркури.

На бирке...если нету....я на своём не нашел.
__________________
ну шо когда революция? еще скоро или обождать?
dimon зараз поза форумом   Відповісти з цитуванням
Пользователь сказал cпасибо:
Роман 37 (17.12.2012)
Старий 17.12.2012, 17:39   #3 (permalink)
Клубень
 
Аватар для Евгенич
 
Псевдо: Евгений
Звідки Ви: Киев
Карапь: Stingray 175 МСМ 140
Дописи: 3.613
Сказал(а) спасибо: 2.278
Поблагодарили 1.563 раз(а) в 542 сообщениях
Типово Re: Как узнать год выпуска меркури

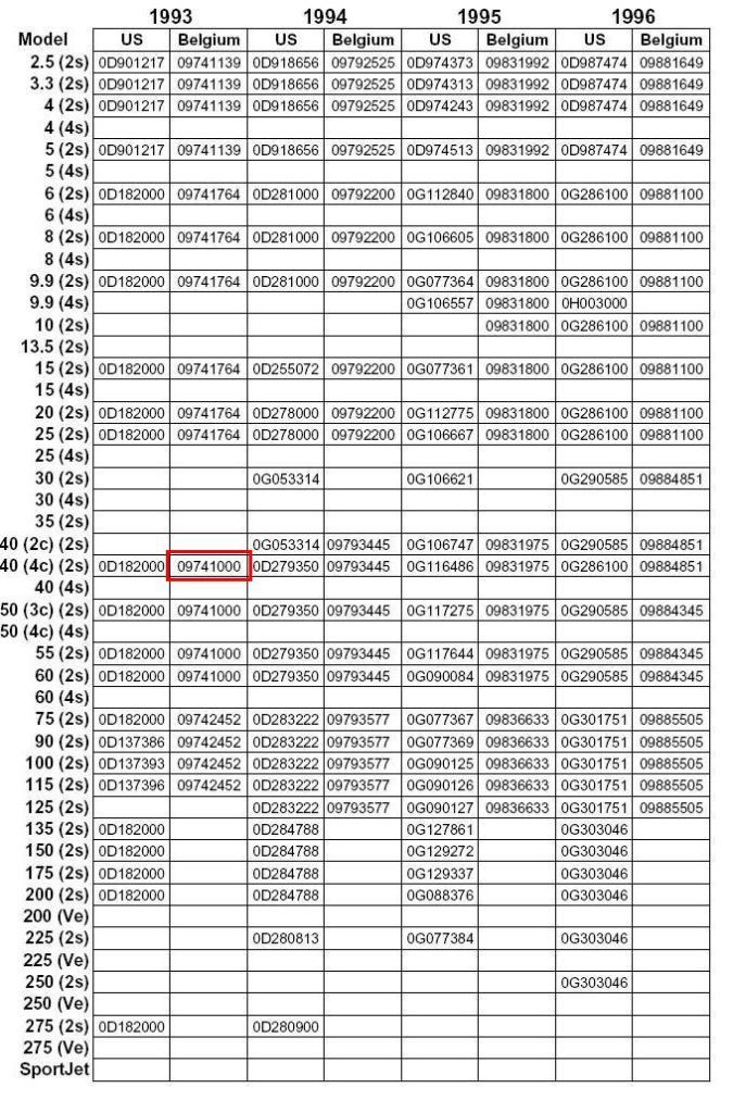
где-то было, поищу ещё
Мініатюри долучень
Щоб збільшити малюнок, клацніть по ньому
Назва:  321.jpg
Переглядів: 5862
Розмір:  196,0 КБ
ID:	33619  
Долучені файли
Тип файлу: pdf merc_mariner_full.pdf (3,37 МБ, 2955 переглядів)
Тип файлу: pdf Япония.pdf (52,6 КБ, 1502 переглядів)
Тип файлу: pdf США и Европа.pdf (660,2 КБ, 1925 переглядів)

Востаннє редагував Евгенич: 17.12.2012 о 17:44.
Евгенич зараз поза форумом   Відповісти з цитуванням
2 пользователя(ей) сказали cпасибо:
shahter (17.12.2012), Роман 37 (17.12.2012)
Старий 17.12.2012, 17:57   #4 (permalink)
Клубень
 
Аватар для Евгенич
 
Псевдо: Евгений
Звідки Ви: Киев
Карапь: Stingray 175 МСМ 140
Дописи: 3.613
Сказал(а) спасибо: 2.278
Поблагодарили 1.563 раз(а) в 542 сообщениях
Типово Re: Как узнать год выпуска меркури

Mastertech Marine -- Mercury Outboard Motor Model Year Reference Chart THRU 1996

http://www.crowleymarine.com/parts.cfm

Там-же и по Jonson Evinrude

Востаннє редагував Евгенич: 17.12.2012 о 18:03.
Евгенич зараз поза форумом   Відповісти з цитуванням
2 пользователя(ей) сказали cпасибо:
shahter (17.12.2012), Роман 37 (27.12.2012)
Старий 27.12.2012, 18:37   #5 (permalink)
Клубень
 
Аватар для Евгенич
 
Псевдо: Евгений
Звідки Ви: Киев
Карапь: Stingray 175 МСМ 140
Дописи: 3.613
Сказал(а) спасибо: 2.278
Поблагодарили 1.563 раз(а) в 542 сообщениях
Типово Re: Как узнать год выпуска меркури

Немного добавлю
Долучені файли
Тип файлу: pdf outboard decal identification chart.pdf (3,13 МБ, 2412 переглядів)
Евгенич зараз поза форумом   Відповісти з цитуванням
2 пользователя(ей) сказали cпасибо:
Ickarus (31.08.2018), Роман 37 (27.12.2012)
ВідповідьПереход на главную страницу


Тут присутні: 1 (учасників - 0 , гостей - 1)
 

Ваші права у розділі
Ви не можете створювати теми
Ви не можете писати дописи
Ви не можете долучати файли
Ви не можете редагувати дописи

BB-код є Увімк.
Усмішки Увімк.
[IMG] код Увімк.
HTML код Вимк.
Trackbacks are Увімк.
Pingbacks are Увімк.
Refbacks are Увімк.


Схожі теми
Тема Автор Розділ Відповідей Останній допис
Mercury по годам выпуска Highlander® Мануалы 6 01.04.2016 18:11
Как определить год выпуска ямахи Роман 37 Подвесные импортные брендовые 0 20.10.2012 23:19
Год выпуска ПЛМ promokan База знаний 0 13.12.2011 23:15
год выпуска мотора akhill Подвесные импортные брендовые 4 22.09.2010 10:28
ЯМАХА?год выпуска igor67 Подвесные импортные брендовые 1 07.04.2010 22:04


Часовий пояс GMT +3. Поточний час: 10:40.


vBulletin 3.8.7 ; Copyright © 2000-2026 Jelsoft Enterprises Limited
Переклад: © Віталій Стопчанський, 2004-2010

Search Engine Optimization by vBSEO 3.6.0